Өнеркәсіп жаңалықтары

Ерігіштік пен тұрақтылықты арттыруға арналған циклодекстрин негізіндегі шешімдер

Ерігіштік пен тұрақтылықты арттыруға арналған циклодекстрин негізіндегі шешімдер

Гидроксипропил Бетадекс және Бетадекс сульфобутил эфирі натрийіне техникалық шолу

Циклодекстриндер нашар еритін немесе химиялық сезімтал қосылыстардың ерігіштігі мен тұрақтылығын жақсарту қабілетімен кеңінен танылған. Бірегей циклдік молекулалық құрылымының арқасында циклодекстриндер және олардың туындылары фармацевтикалық, химиялық және қатысты тұжырымдау салаларында маңызды функционалды көмекші заттарға айналды. Артып келе жатқан техникалық және нормативтік талаптарға жауап ретінде, Сиан Дели Биохимикалы өзінің негізгі циклодекстрин туындылары үшін техникалық құжаттаманы және өнімді қолдауды одан әрі нақтылады:гидроксипропил бетадекс (HPBCD) және натрий сульфобутил эфирі бетадексі (SBECD).


Циклодекстриндердің құрылымдық сипаттамалары және функционалдық көрсеткіштері

Циклодекстриндер – α-1,4 гликозидтік байланыстармен байланысқан глюкоза бірліктерінен тұратын циклдік олигосахаридтер. Олардың молекулалық архитектурасы гидрофильді сыртқы бетімен және салыстырмалы түрде гидрофобты ішкі қуысымен ерекшеленеді, бұл қонақ молекулаларының кең ауқымы бар инклюзия кешендерін құруға мүмкіндік береді. Циклодекстрин құрылымының химиялық модификациясы суда ерігіштігін айтарлықтай арттырып, қолданудың әмбебаптығын кеңейте алады.


Гидроксипропилбетадекс (HPBCD)


Гидроксипропил бетадекс – табиғи циклодекстриндердің шектеулі ерігіштігін жеңуге арналған химиялық түрлендірілген β-циклодекстрин. Оның жақсартылған суда ерігіштігі мен қолайлы үйлесімділігі HPBCD-ны әртүрлі жүйелерде тиімді ерітуді, тұрақтандыруды және құрастыру икемділігін қажет ететін қолданбаларға қолайлы етеді.


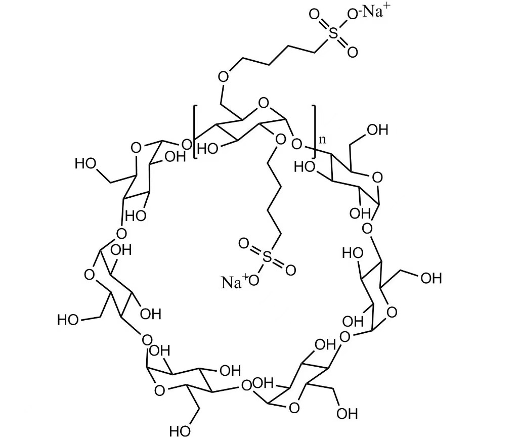
Бетадекс сульфобутил эфирі натрийі (SBECD)


Бетадекс сульфобутил эфирі натрий - сульфобутил эфирінің алмастырғыштарымен сипатталатын анионды циклодекстрин туындысы. Бұл құрылым ерекше қосылыстармен электростатикалық өзара әрекеттесулерді жақсартады, ерігіштігінің жоғарылауын, күрделі тұрақтылықты және талап етілетін қолданбаларда формуланың беріктігін қолдайды.

Стандартталған өнім туралы ақпарат және техникалық қолдау

Формулаларды әзірлеуге, сапаны бағалауға және сатып алу процестеріне жақсырақ қолдау көрсету үшін Сиань Дели Биохимикалы HPBCD және SBECD үшін өнім ақпаратын жүйелі түрде жаңартады, соның ішінде:


  • Нақты анықталған және стандартталған өнімнің техникалық сипаттамалары мен аналитикалық параметрлері
  • Бақылау және сапаны тексеруді қамтамасыз ету үшін партияға арналған талдау сертификаттары (COA)
  • Өңдеу, сақтау және әдеттегі қолданбалы мәселелерге қатысты кеңейтілген техникалық жиі қойылатын сұрақтар
  • Тиімді техникалық шолуды және таңдауды жеңілдету үшін жасалған оңтайландырылған өнім қорытындылары


Бұл жақсартулар мөлдірлікті арттыруға, бағалау уақытын қысқартуға және жеткізу циклі бойына өнімнің тұрақты өнімділігін қолдауға арналған.


Өндірістік тәжірибе және сапаны қамтамасыз ету

1999 жылы құрылған Xi'an Deli Biochemical компаниясы циклодекстрин туындыларын өндіруде 26 жылдық тәжірибесі бар. Компания гидроксипропил бетадекс және бетадекс сульфобутил эфирі натрийінің бақыланатын өндірісіне назар аударады, бұл процестің консистенциясын, партиядан партияға сенімділігін және ұзақ мерзімді жеткізу тұрақтылығын баса көрсетеді. Құрылымдық сапа менеджменті тәжірибелері тұтынушылардың техникалық, реттеуші және ресурстық талаптарын қолдайды.


Қолдану аясы және техникалық ынтымақтастық

Циклодекстринді қосу және тұрақтандыру механизмдеріне негізделген HPBCD және SBECD көптеген техникалық салаларда, соның ішінде фармацевтикалық препараттарға, арнайы химиялық заттарға, ветеринариялық өнімдерге және ерігіштігі мен тұрақтылығын жоғарылататын басқа жүйелерге қолданылады. Сиань Дели Биохимиялық серіктестермен қарым-қатынас пен техникалық ынтымақтастық арқылы дамып келе жатқан тұжырымдау қажеттіліктерін қолдауды жалғастыруда.


Сиань Дели биохимиялық өнеркәсіп компаниялары туралы

1999 жылы негізі қаланған Xi'an Deli биохимиялық өнеркәсіп компаниялары әлемдік тұтынушыларға гидроксипропил бетадекс (HPBCD) және натрий сульфобутил эфирінің бетадексін (SBECD) жеткізетін циклодекстрин туындыларының мамандандырылған өндірушісі болып табылады. Өнімнің тұрақтылығына, нақты спецификацияларға және практикалық техникалық қолдауға ұзақ уақыт бойы назар аудара отырып, компания циклодекстрин негізіндегі сенімді шешімдерді ұсынуға ұмтылады.


Қаласаңыз, мен де істей аламын:


  • Мұны Google SEO үшін одан әрі оңтайландыру (техникалық реңкті төмендетпей)
  • Оны өнім бетіндегі «Техникалық жаңарту» нұсқасына қысқартыңыз
  • Оны реттеуші/сапаға бағытталған тұтынушылар үшін бейімдеңіз


Тек қай жерде жариялауды жоспарлап отырғаныңызды айтыңыз.


Сұрау жіберу


icon
X
Біз cookie файлдарын сізге жақсырақ шолу тәжірибесін ұсыну, сайт трафигін талдау және мазмұнды жекелендіру үшін пайдаланамыз. Осы сайтты пайдалану арқылы сіз cookie файлдарын пайдалануымызға келісесіз. Құпиялылық саясаты
Қабылдамау Қабылдау